目录
返回首页 导航目录
  • 学校首页
  • 学校概况
    • 学校简介
    • 办学理念
    • 领导班子
    • 机构设置
    • 学校荣誉
    • 校园风光
    • 联系我们
    • 校园视频
  • 新闻中心
    • 校园新闻
    • 最新公告
    • 校务公开
  • 专业建设
    • 计算机应用
    • 电梯安装与维修保养
    • 智能设备运行与维护
    • 机械加工技术
    • 会计事务
    • 汽车运用与维修
    • 智能制造与机器人技术
    • 幼儿保育
    • 电子商务
    • 陶瓷设计与制作技术
    • 无人机操控与维护
  • 教育教学
    • 教学管理
    • 教学教改
    • 专业人培
    • 学生资助
    • 教材建设
  • 教师发展
    • 教育教研
    • 教师培训
    • 名师风采
  • 学生管理
  • 社会培训
  • 合作办学
  • 招生就业
    • 招生信息
    • 专业设置
    • 就业指导
    • 校友风采
    • 在线报名
    • 录取查询
  • 特色专栏
    • 职业教育活动周
    • 全环境立德树人
    • 技能大赛
    • 管理水平提升
    • 特色专业建设
    • 双高建设
    • 企业新型学徒制
    • 省教改项目
    • 职业技能等级认定
  • 专题网站
    • 教学成果奖
    • 教材建设栏目
    • 招生就业
    • 党建工作
    • 电梯学校
    • 附属幼儿园
    • 学生管理
    • 师资队伍建设
您的位置: 新闻中心 最新公告
新闻中心
  • 校园新闻
  • 最新公告
  • 校务公开
热点资讯

现任校领导

新起点 新征程 ——宁津职专2024级新生开学须知

历任校领导

智能设备运行与维护专业介绍

电梯安装与维修保养专业介绍

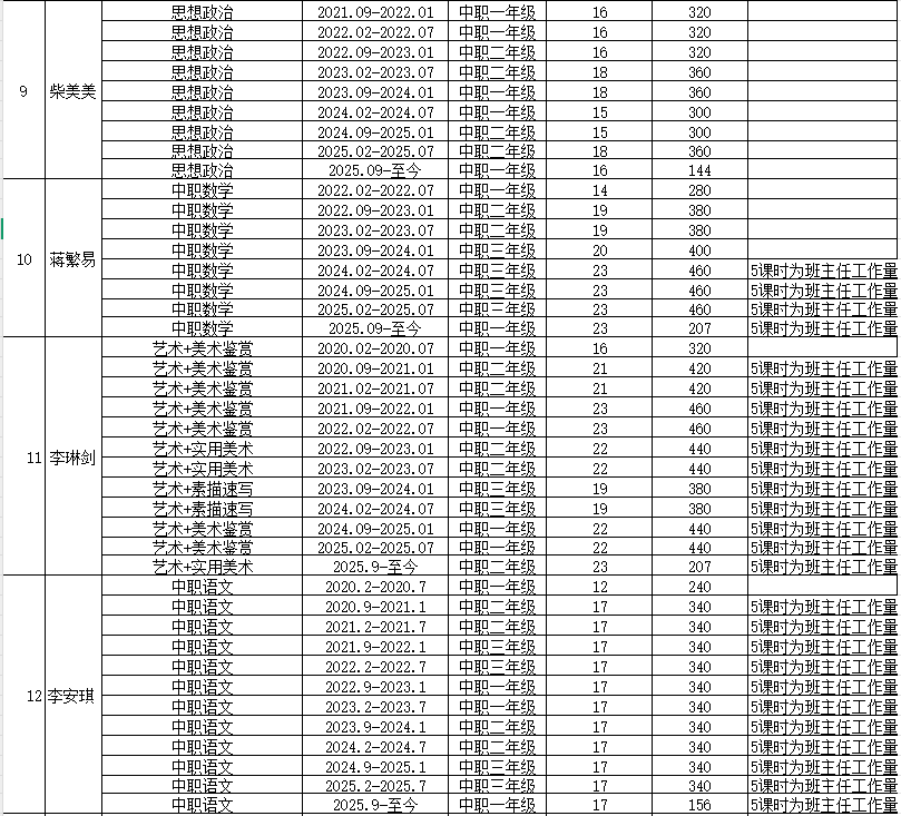
2025年宁津县职业中专晋升中级讲师课时量公示

发布日期:2025-11-12 浏览:



上一篇: 2025年宁津县职业中专晋升助理讲师课时量公示
下一篇: 已经是第一篇!
数字校园平台学生资助管理平台文明风采大赛超星资源库平台
职业教育信息资源网山东省职业技术教育学会山东省教育厅全国职业院校技能大赛德州市教育局安全教育平台我推荐、我评议身边好人
电话:0534-5535301 邮箱:njxzhgz@163.com 地址:山东省德州市宁津县津泉路901号
宁津县职业中等专业学校版权所有 鲁ICP备17021058号 鲁公网安备 37142202000101号 技术支持:成都依能科技股份有限公司